突然发现,g与π²竟然极为接近,我好像发现了世界的bug!

果壳网

2025/04/25 16:01

有人发现,重力加速度和圆周率的平方非常接近,这是真的的吗?

我们先来验算一下。

在地球表面的某一固定点,重力是由万有引力和离心力共同作用的结果。在地球表面的不同点,重力加速度范围为9.764~9.834m/s2,其具体值取决于考察点的地质结构、海拔、纬度和经度等因素。

根据国际计量大会的规定,在没有特别说明的情况下,重力加速度取值为9.80665,而的取值为3.14159,其平方为:

它相对差约

(9.86959-9.80665)/9.80665=0.64%

可见,二者的值的确非常接近。

那么,这是巧合还是必然呢?

这得从米和秒这两个单位的由来说起。

在长期的实践和观察中,人们意识到,以可重现的自然现象为基础建立长度和时间单位是非常可靠的选择。

时间方面,人们发现,地球上一个确定点,连续两次出现太阳高度完全相同的时间间隔是固定的(实际有微弱变化),此即太阳日(sd)。于是人们采用六十进制来划分一个太阳日,从而确定了了1秒为

打开APP,查看更多精彩图片

1579年,瑞士人布尔吉制作了第一块有秒针的钟,但不是很准确。1656 年,荷兰科学家惠更斯(Christiaan Huygens,1629~1695)发明了第一台摆钟,能以秒为最小单位的精确计时的钟。

在长度方面,1588年,意大利物理学家伽利略(Galileo Galilei,1564—1642)发现钟摆摆动周期的规律性。

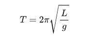
其规律为,钟摆的周期只取决于钟摆的长度,具体为

1645 年,意大利天文学家里乔利首次测定了”秒摆“(半周期为1秒的钟摆)的长度。1675 年,意大利人布拉蒂尼提出,基于秒摆建立长度的通用测量单位(metro cattolico),这是1米的最初来源,即

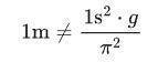
可见,若按此定义1米,则必然导致重力加速度在数量上刚好等于的平方,即,这显然不是巧合,而是必然的!

但现在,这种严格一致的必然显然没有了,如上所计算,的平方与存在0.64%的差异。

这是为什么呢?因为这种1米的定义在100多年后来被淘汰了。

法国天文学家里歇发现,由秒摆得出的长度在不同地方有所不同,例如他发现法属圭亚那和巴黎之间的长度差异达0.28%。

考虑到地球形状的稳定性(实际在微弱变化),1789年,法国科学院决定,新的长度单位应等于从北极到赤道距离的千万分之一,并决定以经过巴黎的一个叫先贤祠的地方的子午线为具体测量路径。

1791年至1798年间,由法国人德朗布尔和梅尚率领的一支探险队,精确测量了敦刻尔克钟楼与巴塞罗那蒙特惠奇城堡之间的距离。

法国人想据此以计算穿过先贤祠的子午线弧的长度,但这需要知道地球作为一个椭球的偏心率才可以,它严重依赖于赤道附近的子午线的测量数据。

而在此之前的1739年,法国赤道大地测量团已完成了对厄瓜多尔附近的一段子午线的测量。

实验物理学家完成了测量,现在轮到理论家大显身手了,著名数学家皮埃尔-西蒙·拉普拉斯(Pierre-Simon Laplace,1749~1827)登场了。

他先结合了法国赤道大地测量团的数据和德朗布尔-梅尚的测量数据,推算出地球的子午线的偏心率为1/334;接着,他又利用敦刻尔克和巴塞罗那之间的子午线长度,推算出巴黎先贤阁子午线从北极到赤道的长度L;最后,将此长度L除以一千万,就得到1米对应的长度了,即

到此,1米和1秒分别都定义好了,它们的定义看起来是独立的,所以上面的(1)式显然不可能再成立了,即

因此,

也就是说,按照逻辑,这里的应该是不等号,当然实际上也是如此。

但问题是,为什么这个不等号却非常像等号呢?因为按照本文开始的验算,左右相差不过0.64%!

这是因为,法国人在选择新的1米的标准时,明显还是受到了之前布拉蒂尼提出的”以半周期为1秒的单摆的摆长为1米“的影响。

换句话说,法国人并不想彻底与过去切割,毕竟那个1米的标准曾经流行了100多年的时间!这样做的好处是,之前建立的数量关系在一定范围内依然有效,而不至于要全部推倒重来。

因此,法国人的想法是,尽量与之靠近,但必须采用一个完全独立的定义来重新定义。

结果是,法国人找到了新的定义方式,它就是巴黎先贤阁子午线从北极到赤道的1千万分之一。

据此单位标准,重力加速度的数值不再恰好是,而是接近现在的标准值9.80665,这样一来,只能是非常接近了!

由此可见,重力加速度非常接近圆周率的平方这件事,并不是巧合的,而是必然的,是偶然中隐含的必然。

这个必然是人类的习惯造成的——人们总是想让新的标准尽可能与旧的标准接近或兼容,而不是完全不同。

试想,若巴黎先贤阁子午线从北极到赤道的距离,与半周期为1秒的单摆的摆长的一千万倍相差很远,法国人可能会选择另一个倍数来定义米,甚至可能不选择先贤阁子午线,而选择其他的某个距离。

但是,幸运的是,选择先贤阁子午线时,1千万这个天选之数也恰好被选择了,这才算是一个美妙的偶然巧合。

现在,时间和长度的单位都已经被重新定义了。

正如薛定谔所指出的,物理学不仅是一门不断创新的自然科学,既然它是人类发现并建立的,它必定也是一门由人物和历史记忆构成的人文科学。

正因为如此,物理量单位虽然反复被重新定义,但却尽力继承了之前历史中的数量关系。正是这种继承关系,导致了一种物理学中广泛的历史关联的必然性。

圆周率的平方与重力加速度很接近,正是这种必然性的体现。

参考文献

[1]https://en.wikipedia.org/wiki/Second

[2]https://en.wikipedia.org/wiki/History_of_the_metre

[3]https://en.wikipedia.org/wiki/French_Geodesic_Mission_to_the_Equator

展开全文
文章关键词
#重力 #长度 #子午线

大家都在聊

热门评论

相关推荐

热门视频

查看更多视频

热点搜索

打开APP 追踪24小时热点新闻
打开APP 追踪24小时热点新闻